Geschiedenis van het spijkerschrift
Inscripties in spijkerschrift betreffende koning Nebukadnezar II uit Babylon, verwerkt in de geglazuurde bakstenen op de Poort van Ishtar. Waarschijnlijk betreffen de inscripties de bouw van de poort door Nebukadnezar. Bron: Wikimedia Commons, foto door gebruiker Gryffindor / Pergamom Museum Berlijn
Beter schrijven op kleitabletten met het oudste schrift
Vanaf 3300 v. Chr. ontwikkelden de Sumeriërs, een Mesopotamisch volk, in stappen het spijkerschrift. Daarmee konden ze beter op kleitabletten schrijven dan met het beeldschrift dat ze tot dan toe gebruikten. Zo werden ze de bedenkers van het oudste schrift uit de geschiedenis. Het spijkerschrift heeft abstracte, wigvormige karakters die met een stift in de klei werden gedrukt. Deze tekens noemen wij 'spijkers', omdat ze daar qua vorm op lijken. Het spijkerschrift en het bijbehorende kleitablet werden een groot succes en zouden zich door de eeuwen heen vanuit Mesopotamië over het Midden-Oosten verspreiden.
Herontdekking en ontcijfering van het spijkerschrift
Het spijkerschrift is niet alleen op kleitabletten geschreven, maar ook gebruikt voor inscripties op plakkaten, monumenten en verrassend vaak hoge rotswanden. Ver voor het begin van onze jaartelling mochten Assyrische koningen die graag oprichten om hun grootste daden vast te leggen voor het nageslacht. Tegen 1800 waren verschillende van dergelijke inscripties gevonden door ontdekkingsreizigers of soldaten in de eeuwen daarvoor. Aangezien De Verlichting het wetenschappelijke landschap inmiddels aardig had veranderd, stortten taalkundigen zich in de nieuwe eeuw enthousiast op de ontcijfering van stokoude schriften als Egyptische hiërogliefen en dus ook het spijkerschrift.
Zo wist de Duitse filoloog Georg Friedrich Grotefend (1775-1853) in 1823 als eerste een in spijkerschrift geschreven tekst gedeeltelijk te ontcijferen. Het betrof een tekst in het Oud-Perzisch, een taal die al redelijk bekend was door tekeningen van inscripties in Persepolis, de zetel van de grote koning Darius I, die rond 500 v. Chr. heerste over het Perzische Rijk (nu Iran). Het was niet de moeilijkste tekst, want er was al sprake van een alfabetisch schrift met 36 tekens, acht ideogrammen en een apart teken voor een spatie. Bovendien was de taal Oud-Perzisch ook al bekend uit latere op papier geschreven teksten. Toch kreeg Grotefend niet de hele tekst ontcijferd.
De eer voor volledige ontcijfering viel te beurt aan de Britse archeoloog, taalkundige en legerofficier Sir Henry Creswicke Rawlinson (1810-1895) in de jaren '30 van de 19de eeuw. Hij gebruikte daartoe inscripties uit het stadje Behistun (in het Zuiden van hedendaags Iran), die vergezeld gaan van hoog in de rotsen uitgehakte reliëfs. De begeleidende teksten in spijkerschrift van deze Behistun Inscriptie dateren ook uit de tijd van Darius I, maar zijn in drie talen: het Oud-Perzisch, het Babylonisch en het Elamitisch. Daardoor wist Rawlinson flinke stappen te zetten met de ontcijfering van het schrift.
Maker onbekend - Gravure met een overzicht van de Behistun Inscriptie, 1860. Bron: Wikimedia Commons
Ondertussen groeide gedurende de 19de eeuw de belangstelling voor archeologie meer dan ooit tevoren. Dat leidde tot een hausse aan opgravingen. Bij opgravingen in het oude Mesopotamië tegen het einde van de 19de eeuw werden veel kleitabletten en andere beschreven objecten gevonden.
Daaronder zaten ook tabletten die delen van het fameuze Sumerische epos van Gilgamesj (geschreven tussen 2100 en 1200 v. Chr.) bevatten, waarschijnlijk de oudst bewaard gebleven fictie ter wereld. Deze werden ontdekt door de even jonge als briljante geleerde en vertaler George Smith (1840-1876), die in 1872 tot een eerste vertaling van het epos kwam. Deze zou meer dan andere vertalingen het begrip van complexere soorten spijkerschrift vooruit helpen.
Helaas was het spijkerschrift daarmee niet definitief ontcijferd. Het komt in zoveel verschillende vormen en talen dat zelfs vandaag de dag nog taalkundigen kleitabletten of inscripties proberen te ontcijferen.
Georg Grotefend
Maker onbekend - Georg Friedrich Grotefend in 1802. Bron: Wikimedia Commons
Henry Rawlinson
Henry Wyndham Phillips - Henry Rawlinson op 40-jarige leeftijd, 1850. Bron: Wikimedia Commons / Livius.org
George Smith
Maker onbekend - George Smith tussen 1872 en 1876. Bron: Wikimedia Commons / Morris Jastrow -The Civilization of Babylonia and Assyria, 1915
Het begin van de schrijvende mens: het beeldschrift
Al sinds het 8ste millennium v. Chr. hielden mensen in Mesopotamië een eenvoudige boekhouding bij om zicht te houden op hun voorraden. Daartoe tekenden ze eenvoudige symbolen, zogeheten tokens, op kleine hompjes klei die bullen werden genoemd.
De tokens groeiden uit tot wat wij een pictogram of ideogram noemen: een zeer eenvoudig lijnentekening die in de plaats komt van geschreven woorden. Om een overdaad aan tekens te voorkomen werden bestaande tekens in toenemende mate genoteerd in de vorm van een rebus. Daarbij vormde de combinatie van twee of meer tekens ook een woord. Als het teken voor 'brood' bijvoorbeeld binnen het teken voor 'mond' werd geschreven, kreeg je het teken voor 'eten'. Dit rebussysteem zou nog vele eeuwen blijven bestaan, ook na verdere ontwikkeling van het spijkerschrift.
Toen er in de loop der tijd in Mesopotamië steeds meer vormen van handel kwamen, nam de behoefte aan het opstellen van contracten toe. Onder druk hiervan werden de gebruikte stukken klei groter en groeiden uit tot kleitabletten. Deze tabletten werden beschreven in de lengterichting, waarbij lijsten van goederen werden bijgehouden in verticale kolommen. Men begon rechts bovenaan te schrijven en werkte dan naar links onder toe, zoals nu nog steeds gebruikelijk is in het Chinese schrift.
Koopcontract AO 3367. Puntgaaf koopcontract in beeldschrift voor een huis en een veld, rond grofweg 2600 v. Chr. opgesteld en gevonden op de archeologische vindplaats Shuruppak in Irak. De verticale kolemmen zijn goed zichtbaar. Foto Marie-Lan Nguyen, 2005. Bron: Wikimedia Commons/ Louvre Museum
Het vervolg: het proto-spijkerschrift
Het probleem met schrijven in klei is dat het met elk denkbaar schrijfgerei problematisch is om gebogen lijnen te maken. Het kan wel, maar het maakt het schrijfwerk tot een traag en vermoeiend proces. Omdat dit niet erg is wanneer de vraag naar geschreven documenten laag is, heeft het beeldschrift nog millennia lang zijn werk gedaan op tal van plaatsen.
Gedurende het vierde millennium v. Chr., ontwikkelden deze eenvoudige symbolen zich op sommige plaatsen echter steeds meer tot een gestileerd beeldschrift. Dat was een schrift dat werkte met vereenvoudigde, uit louter rechtere lijnen bestaande symbolen, afgeleid van de oorspronkelijke symbolen. De tekens werden in de klei gekrast met eerst een naald en later een schrijfriet. In het Nederlands wordt dit ook wel het proto-spijkerschrift genoemd, In het Engels en veel andere talen spreekt men van proto- of precuneiform.
Lees meer over het ontstaan van het beeldschrift en het gebruik van kleitabletten in het artikel: Schrijven op kleitabletten, van hompje tot bibliotheek.
Administratief kleitablet uit de 26ste eeuw voor Chr. met gestileerd beeldschrift bestaande uit rechte lijnen. Gevonden in Adab In Irak, tegenwoordig bekend als Bismaya. Bron: Wikimedia Commons (fotograaf onbekend)
Naar een volwaardig spijkerschrift
Gedurende het 4de millennium v. Chr. nam de behoefte om dingen te noteren opnieuw flink toe. Teksten werden nu zo lang en gecompliceerd, dat het beeldschrift niet meer bruikbaar was. Daarop kwamen de Sumeriërs (of Soemeriërs), een volk uit Mesopotamië (tegenwoordig Irak), vanaf ongeveer 3300 v. Chr. tot een aantal vernieuwingen die uiteindelijk zouden leiden tot het spijkerschrift:
- Het kleitablet werd een kwartslag gedraaid en men ging van links naar rechts werken in horizontale lijnen, zoals wij tegenwoordig ook nog doen.
- Het schrijfriet werd vervangen door een meer penachtige stilus met een extra scherpe punt.
- De gestileerde symbolen van het beeldschrift werden stapsgewijs omgevormd tot abstracte, wigvormige tekens die uit korte, rechte lijnen bestonden. Dat begon door het oorspronkelijke symbool eerst 90° te draaien zodat het plat kwam te liggen. Daarna probeerde men het zo goed mogelijk na te bootsen met een aantal inkepingen in de klei. Dat teken werd vervolgens een steeds abstracter samenstel van lijnen en wiggen. Vaak hadden deze lijnen driehoekige kopjes, waardoor ze ons zo sterk doen denken aan spijkers.
Zo ontstond het oudste schrift uit de geschiedenis, het spijkerschrift. Ook wordt het, zoals in het Engels (cuneiform), wel het cuneiforme schrift genoemd. Deze term is afgeleid van het Latijnse woord cuneus dat 'wig' betekend.
Fotograaf onbekend - Sumerische lijst van harpsnaren en 23 verschillende muziekinstrumenten, rond de 26ste eeuw v. Chr.. Veel teksten op kleitabletten zijn inventarislijsten. Dit is de oudst teruggevonden inventaris van muziekinstrumenten. Hoewel het grofweg dezelfde leeftijd heeft als de kleitablet op de vorige twee afbeelding, is het hier gebruikte schrift al veel verder ontwikkeld. Bron: Wikimedia Commons
‣ Verdere verbeteringen
Ondanks alle vernieuwingen bleef het schrijfproces traag en vermoeiend. Daarom werd uiteindelijk besloten de wiggen die in het schrift voorkwamen slechts een beperkt aantal kanten op te laten wijzen. Dan kon men sneller en gemakkelijker met de stilus werken. Deze kanten waren:
- verticaal van beneden naar boven
- horizontaal van rechts naar links
- schuin van rechtsonder naar linksboven
- schuin van rechtsboven naar linksonder
De enige uitzondering hierop was een naar links wijzende pijlpunt, die gemaakt kon worden door alleen de punt van de stilus in de klei te drukken.
Bron: Wikimedia Commons
Evolutie van het spijkerschrift
De afbeelding toont verschillende stadia van ontwikkeling van het spijkerschrift aan de hand van het woord geme, dat slavin betekend. Links boven staat het oudste symbool, een pictogram in rebusvorm. De driehoek was het symbool voor 'vrouw', de drie halve bollen stonden voor 'bergen'. Er staat dus letterlijk vrouw uit de bergen, wat waarschijnlijk te maken had met het feit dat de Sumeriërs mensen uit bergachtige streken tot slaaf maakten. Rechts onderin staat de meest geabstraheerde versie van het teken dat aan de laatste vernieuwingen voldoet.
De stilus
Het bij het kleitabletten passende schrijfgerei noemen wij nu een stilus, hoewel dat feitelijk een Romeins woord is dat griffel betekend. Het betrof een stift die in principe was gemaakt van hetzelfde materiaal als het schrijfriet, namelijk riet. Aan de onderkant was de stilus echter in een scherpe driehoek gesneden. Het schrijven gebeurde niet meer door in de klei te krassen, maar door de stilus er in te drukken. Dat gaf veel duidelijkere tekens.
Enkele Sumerische woorden in modern spijkerschrift met betekenis en vertaling
Dingir Inanna
Godin Inanna
Ni-gur
Trots
Ama-gi
Letterlijk: terug naar moeder. Half letterlijk: de terugkeer van mensen of eigendommen naar hun oorspronkelijke status. Figuurlijk: vrijheid
Bron: Wikimedia Commons
Van logografisch naar syllabisch schrift
Rond 2500 v. Chr. was het spijkerschrift al zover gestileerd dat de oorspronkelijke afbeeldingen nog nauwelijks te herkennen waren. Ook waren er tekens voor abstractere zaken als handelingen of gevoelens gekomen. Er was echter nog steeds grotendeels sprake van een zogeheten logografisch schrift, wat wil zeggen dat er voor ieder woord een apart teken bestond.
Dat bleek ook met het rebussysteem teveel verwarring te geven; veel symbolen hadden meerdere betekenissen. Zo kon de afbeelding voor 'voet' ook 'komen', 'gaan' en 'staan' betekenen. Om dat te omzeilen, had men alsnog vele duizenden nieuwe tekens moeten bedenken om alle in omloop zijnde woorden mee te beschrijven. Dat was niet te doen.
Daarom werd er een andere oplossing gevonden. Men ging tekens toewijzen aan lettergrepen i.p.v. voorwerpen of begrippen. Woorden werden voortaan uit deze lettergrepen, syllaben, opgebouwd. Zo werd het spijkerschrift omgevormd naar een syllabisch schrift, waarbij elk teken een lettergreep of een groepje lettergrepen representeert. Voor een gedeelte van de woorden bleef het logografische schrift echter gehandhaafd.
Hierna telde het spijkerschrift nog steeds zo'n 600 tekens. Deze moest een schrijver allemaal uit het hoofd kennen. Dat was geen sinecure en voor het lezen van een kleitablet bleef heel wat interpretatie nodig, ook van de Mesopotamiër. Er moest veel worden afgeleid uit de context; zoveel dat er op sommige kleitabletten extra aanwijzingen zijn geschreven om de context duidelijk te houden. Desondanks was het systeem veelzijdig genoeg voor zowel praktische zaken als contracten als meer verheven zaken als literatuur.
District Court for the Eastern District of New York (foto gemaakt naar aanleiding van een rechtszaak) - Het zogeheten 'Gilgamesh droom tablet', een pagina uit het Gilgamesh epos, rond 1500 v. Chr. betreffende een droom van die de held had. Het werd begin deze eeuw illegaal vanuit Irak naar de VS gesmokkeld. Een leek kan er nauwelijks nog op zien waar de ene spijker ophoudt en de andere begint. Bron: Wikimedia Commons / NBC News
Varianten van het spijkerschrift
Het spijkerschrift zou zich in de eeuwen, millennia zelfs, die volgden door heel Mesopotamië en ook daar voorbij nog verspreiden. Dat betreft een zeer groot gebied en een zeer groot tijdsbestek. Niet vreemd dus dat het spijkerschrift niet overal dezelfde vorm kreeg. Zeker niet aangezien de tekens die tot het schrift behoorden niet eenduidig waren vastgesteld, zoals dat bij het Latijnse schrift min of meer het geval is. Wij kennen wel verschillen in het gebruik van accenten en andere leestekens per taal, maar de basisletters en de cijfers zijn gelijk. Dat was bij het spijkerschrift niet zo.
Aanvankelijk had iedere regio of stadstaat al zijn geheel eigen variant. Dat bleek echter niet werkbaar toen handelaren steeds verder reisden. Uiteindelijk bleven er slechts twee varianten over: het Babylonische schrift voor het zuiden en het Assyrische schrift voor het noorden. Deze varianten behoorden niet geheel toevallig tot de twee belangrijkste politieke machten in Mesopotamië.
Binnen beide schriften vond echter ook weer ontwikkeling plaats. Daardoor is er sprake van Oud-Assyrisch en Oud-Babylonisch versus Neo-Assyrisch en Neo-Babylonisch spijkerschrift, waarbij de nieuwe varianten strakker en minder rommelig zijn dan de oude.
Laszlovszky Andràs - Weergave van Oud-Assyrische spijker, 2011, betekenis onbekend. Bron: Wikimedia Commons / Wikpedia Hongarije
George Douras - Weergave van Neo-Assyrische spijker in het kader van het ontwerp van lettertypes, betekenis en datum onbekend. Bron: Wikimedia Commons
Het eerste alfabet
Rond 1400 v. Chr. zou alles er een stuk gemakkelijker op worden. Toen vonden de Aramese bewoners van de Syrische kustplaats Ugarit het alfabetische spijkerschrift uit. Daarbij werden tekens toegekend aan bestaande klanken en woorden opgebouwd uit deze tekens. Opeens had men genoeg aan slechts 31 tekens. Dit kwam bekend te staan als het Ugaritisch alfabet.
Het was een complete revolutie voor de mensen uit die tijd. Vanzelfsprekend zou dit veel gemakkelijkere schrift het oude, syllabische schrift verdringen. Daardoor begon het spijkerschrift aan zijn grootste opmars door het Midden-Oosten, waar inmiddels meerdere schriften waren ontstaan en met elkaar wedijverden om te worden gebruikt.
AnonMoos - Het Ugaritisch alfabet zo goed mogelijk omgezet naar het Latijnse, 2021. Een één op één weergave is niet mogelijk, want daarvoor zijn de onderlinge verschillen te groot. Bron: Wikimedia Commons
Talen
Afgezien van verschillende schrijfwijzen, was er ook sprake van verschillende talen. In Mesopotamië en het Midden-Oosten woonden allerlei volkeren die allemaal hun eigen taal hadden. In principe was het spijkerschrift bruikbaar voor al deze talen en er bestaan dan ook genoeg kleitabletten met teksten in streektalen. Desondanks zou het schrift altijd verbonden blijven met de oudste taal die ermee werd geschreven, namelijk het Sumerisch. Teksten in deze taal circuleerden nog lang onder alle culturen van het Midden-Oosten, net als bij ons het Latijn nog lang in gebruik bleef naast de volkstaal.
In latere tijden zou iets vergelijkbaars ook gaan gelden voor teksten uit Babylonië die in het Akkadisch waren geschreven. Nog meer dan het Sumerisch zou het Akkadisch als een verheven taal gaan tellen, die men verkoos te schrijven boven de 'volkstalen'. Uiteindelijk werd deze taal dan ook de dominante taal voor in spijkerschrift geschreven teksten.
In toenemende mate wilde men bepaalde teksten omzetten van de ene naar de andere taal. Dat begon, zoals alles betreffende het spijkerschrift, met de behoefte om contracten of andere zakelijke teksten in meerdere talen beschikbaar te hebben. Gaandeweg wilde men echter ook mythologische en literaire teksten vertalen. Dat was vooral het geval in Babylonië, waar men oude Sumerische teksten in het Akkadisch beschikbaar wilde hebben, omdat de Babylonische mythologie sterk was geënt op de Sumerische. Dat spijkerschrift vertalen ook destijds iets was voor geleerden, blijkt uit het feit dat de vertalers in zeer hoog Babylonisch aanzien stonden.
Na de opkomst van het alfabetische schrift zou het Aramees, de taal waarop dat schrift was geënt, de meest courante taal worden.
Fabien Dany - Tweetalig kleitablet met links Oud-Persisch en rechts Akkadisch, leeftijd onbekend. Foto, 2006. Klik op afbeelding om te vergroten. Bron: Wikimedia Commons / National Museum of Iran.
Getallen in het spijkerschrift
De Sumeriërs bedachten niet alleen het eerste schrift, maar ook het eerste rekenkundige systeem. Dat had men nodig voor de inventarisatie en administratie van grote hoeveelheden zakken graan of stuks vee.
Nummers moesten echter ook worden genoteerd en daarom kregen ze hun eigen symbool. De Sumeriërs begrepen al meteen dat je niet voor ieder cijfer een apart symbool hoeft te verzinnen, maar dat je hogere getallen kunt samenstellen door lagere cijfers samen te voegen. Het symbool voor het getal 37 bijvoorbeeld, bestond uit de symbolen voor de getallen 30 en 7. Feitelijk ging het opbouwen van cijfers uit bestaande getallen zo ver dat er maar twee verschillende symbolen voor werden gebruikt.
‣ Sexagesimaal stelsel
De Sumeriërs rekenden met een zestigtallig of sexagesimaal stelsel. Het voordeel daarvan is dat het getal 60 uitzonderlijk veel deelgetallen heeft, waardoor er maar weinig breuken ontstaan. Dat is eigenlijk vooral gunstig voor hogere wiskundige berekeningen, maar toch werd het zestigtallig stelsel ook gangbaar in het alledaagse leven, zij het zonder het nummer 0, dat nog niet bekend was. Wel was er een tientallig element aan het systeem toegevoegd: bij het cijfer 10 werd een nieuw symbool gebruikt en tevens werd bij bepaalde noteringen gewerkt met het vermenigvuldigen met 10 (zie illustratie). Het getal 60 werd in principe geschreven als een 1 met een lege plaats erachter, maar de Sumeriërs maakten het teken vaak groter om onderscheid te maken.
Oude Sumerische symbolen voor de aangegeven getallen. Als er een klein rondje, een tien, in een groter symbool staat moet het oorspronkelijke getal met 10 worden vermenigvuldigd. Het symbool voor het getal 9 is negen keer het symbool voor 1. Bron: Wikimedia Commons / Wikipedia Catalonië, gebruiker Gibra 2010
‣ Spijkers in plaats van symbolen
In latere tijden zouden ook deze symbolen worden omgevormd tot spijkers. Het zestigtallige stelsel werd wel gehandhaafd. Daarbij ontstonden verschillende notatiesystemen, die ieder op andere plaatsen en in andere tijden werden gebruikt. Zo bleven sommige culturen, zoals de Babylonische, vasthouden aan slechts twee spijkers om alle getallen mee te noteren, terwijl andere er meer gingen gebruiken.
George Douros - Het cijfer 1000 volgens de Neo-Assyrische schrijfwijze. Er worden drie verschillende wiggen gebruikt i.p.v. twee.. Bron: Wikimedia Commons
Ook ontwikkelde men soms aparte notatiesystemen voor specifieke doeleinden, zogeheten additieve systemen. Voor het omschrijven en berekenen van oppervlakten gebruikte men bijvoorbeeld een andere schrijfwijze dan voor het berekenen van prijzen. Dat was onnodig gecompliceerd, maar het gevolg van het feit dat Mesopotamische wiskunde en het schrijven van getallen onlosmakelijk met elkaar verbonden waren.
Voorbeelden van notatiesystemen zijn:
- Systeem S. Dit was een additief systeem met aparte symbolen voor de cijfers 1, 10, 60, 600, 3600, 36000 en 216000. Het werd vooral gebruikt voor het noteren van maten als inhoudsmaten en gewichten. De spijkers waren meer dan bij ieder ander systeem gebaseerd op de oude Sumerische symbolen, zoals te zien is aan het onderstaande symbool.
Het teken voor 36000 binnen systeem S, uitgesproken als Shar u. De overeenkomst met het Sumerische symbool voor hetzelfde getal is duidelijk. Bron: Wikimedia Commons (gebruiker SchlomoKatzav)
- Systeem G (ook bekend als Sumerisch Gan). Dit was een additief systeem dat vooral werd gebruikt bij het opschrijven en vaststellen van oppervlaktematen. Een belangrijke zaak in een cultuur waar veel contracten draaiden om stukken land. Er zijn speciale symbolen voor het schrijven van 1/2, 1, 6, 18, 180, 1080, 10800 en 64800, wat voor het bepalen van grondoppervlaktes handig is.
‣ Babylonische getallen
De Babyloniërs bleven het zichzelf moeilijk maken met een systeem gebaseerd op slechts twee spijkers: een rechtopstaande spijker voor de 1 en een staande wig met de punt naar links voor de 10. Van vergrote spijkers voor hogere getallen is meestal geen sprake, al kan het wel voorkomen. Het teken voor 60 was in principe hetzelfde als dat voor 1, maar met een spatie erachter. Bij de notatie van hogere nummers staan de wiggen voor de spijkers. Als er na een spijker nieuwe wiggen komen, wil dat doorgaans zeggen dat er een nieuw getal begint.
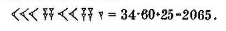
Om de verwarring over de notatie zo groot mogelijk te maken, gebruikte men ook een spatie in plaats van komma's of punten om deelgetallen mee aan te geven. Dat gaf geen problemen met de nummers 1 t/m 59, want die werden aan elkaar geschreven. Zoals in het overzicht hieronder is te zien zijn de twee spijkers voor bijvoorbeeld het getal 2 met elkaar verbonden. Wilde men 1,1 schrijven werden beide spijkers achter elkaar geschreven zonder dat ze elkaar raakten. Dat gaf echter problemen met het getal 61, want dat bestond uit dezelfde twee symbolen met ook een spatie ertussen. Die spatie betekende x60 zodat er dan eigenlijk 1x60+1 stond. Helaas deed zich het probleem opnieuw voor bij het getal 3601, dat eveneens dezelfde schrijfwijze had, al stond er dan dus eigenlijk 1x60x60+1, enzoverder naar nog hogere getallen toe. Twee rechtopstaande spijkers los achter elkaar geschreven, kon dus heel wat verschillende nummers representeren. Uiteindelijk moest men maar uit de context afleidden welke er werd bedoeld. Bij de echt kansloze gevallen werd door middel van tekst extra informatie toegevoegd om duidelijk te maken van welke versie van het getal sprake was.
De Babylonische cijfers voor 1 t/m 59 in spijkerschrift. Bron: Wikimedia Commons
De notatie van hogere getallen werd op deze manier een hele rekenkundige som. Een voorbeeld:
34x60=2040+25=2065. De 60 staat niet genoteerd. Bron: Wikimedia Commons / Great Soviet Ecyclopedia, 1938.
‣ Uitvinding van het getal 0
In de dagelijkse realiteit bracht de notatie van getallen dus veel verwarring met zich mee. Gelukkig ontdekten de Babyloniërs een oplossing voor dit probleem, namelijk het getal 0. Er kwam een aparte spijker voor, in de vorm van twee naar links gedraaide wiggen. Deze verschijnt voor het eerst in Babylonische teksten tijdens het 2de millennium v. Chr.. Tegen 300 voor Chr. is de nul gemeengoed in astronomische teksten.
Oude gewoonten laten zich echter niet snel uitroeien, dus lange tijd wordt de 0 niet vaak gebruikt als die op de laatste positie had zullen staan en blijft dat gewoon een spatie. Aangezien er sprake blijft van een zestigtallig stelsel, wordt de nul in veel gevallen dus pas gebruikt bij cijfers vanaf 3600. Dat wordt dan geschreven als: 10spatie. In latere tijden, als de nul couranter is geworden, wordt 60 geschreven als bij ons de 10 en 3600 als de 100.
De Babylonische spijker voor 0. Bron: Wikimedia Commons, gebruiker Dega180
Het spijkerschrift in het gebruik
Al met al was het gebruik van spijkerschrift en kleitabletten een enorme vooruitgang voor de mensheid, maar nog lang niet ideaal. Het schrijven op kleitabletten verliep moeizaam en omslachtig:
- Kleitabletten moesten worden geprepareerd voordat je erop kon schrijven en naderhand in de zon te drogen gelegd om uit te harden.
- De tabletten hadden een groot volume, waardoor de opslag ervan veel ruimte vroeg. Iets dat zich verhoudt tot een volwaardig boek kon je er niet echt op schrijven want dan had je wel heel veel tabletten nodig. Het vermaarde Gilgamesj-epos bijvoorbeeld is eigenlijk een verzameling korte verhalen.
- De kunst van het schrijven zelf was zo gecompliceerd dat er een langdurige opleiding nodig was om het te leren. Daardoor konden eigenlijk alleen professionele schrijvers, priesters en priesteressen en geleerden (voor zover dat niet dezelfde personen waren) schrijven.
Daarom zou het kleitablet vanaf de eerste eeuw na Chr. in toenemende mate vervangen worden door andere schrijfmedia als papyrus en perkament (beiden ontdekt door de Egyptenaren en gebruikt vanaf ongeveer 3000 v. Chr.), wastafeltjes (een Romeinse uitvinding), en papier (China ± 100 na Chr.). Deze media vroegen om een heel andere manier van schrijven waar andere schriften beter op toegerust waren.
Dat neemt niet weg dat het spijkerschrift alle latere schriften voor is gegaan en vaak ook aan de basis van deze heeft gestaan. Bijna vier millennia lang was het in gebruik en daar kan ons eigen schrift nog even niet aan tippen.
Osman Hamdi Bey - De opgravingen van het Universiteitsmuseum bij Nippur, 1903. Zonder archeologische opgravingen als deze hadden we maar weinig geweten over het spijkerschrift. Bron: Wikimedia Commons / Expedition Magazine, 54, no.3, (2015)
Bronvermelding
Boeken
Time-Life Boeken, J. van Gestel (red.)
Mesopotamië: de machtige vorsten. Amsterdam 1995. Time-Life Books. ISBN: 9053900721 / 9789053900727
Reader's Digest, Corrie van den Berg (red.)
Dagelijks leven door de eeuwen heen. Brussel/Amsterdam 1994, Uitgeefmaatschappij The Reader’s Digest. ISBN: 9064073147 , p24, 25
Artikelen Online
InfoNu
- Schrijven op kleitabletten, van hompje tot bibliotheek (2017, 6 april), auteur Varenna, geraadpleegd op 9 april 2025, https://kunst-en-cultuur.infonu.nl/geschiedenis/51333-schrijven-op-kleitabletten-van-hompje-tot-bibliotheek.html
Wikipedia
- Cuneiform (2025, 8 april), geraadpleegd op 9 april 2025, https://en.wikipedia.org/wiki/Cuneiform
Wikipedia Frankrijk
- Numération mésopotamienne (2024, 9 augustus), geraadpleegd op 9 april 2024, https://fr.wikipedia.org/wiki/Num%C3%A9ration_m%C3%A9sopotamienne
- Spijkerschrift (2025, 7 februari), geraadpleegd op 8 april 2025, https://nl.wikipedia.org/wiki/Spijkerschrift
- Georg Friedrich Grotefend (2024, 3 november), geraadpleegd op 10 april, https://nl.wikipedia.org/wiki/Georg_Friedrich_Grotefend
- Henry Rawlinson (archeoloog) (2025, 20 februari), geraadpleegd op 10 april, https://nl.wikipedia.org/wiki/Henry_Rawlinson_(archeoloog)
- Gilgamesj-epos (2024, 15 juni), geraadpleegd op 4 april 2025, https://nl.wikipedia.org/wiki/Gilgamesj-epos
- Pictografisch schrift (2021, 20 september), geraadpleegd op 4 april 2025, https://nl.wikipedia.org/wiki/Pictografisch_schrift
- Stilus (2025, 28 maart), geraadpleegd op 4 april 2025, https://nl.wikipedia.org/wiki/Stilus
- Babylonische cijfers (2024, 2 februari), geraadpleegd op 8 april 2025, https://nl.wikipedia.org/wiki/Babylonische_cijfers
World History Encyclopedia (in het Nederlands)
- Joshua J. Mark - Het spijkerschrift. Vertaler: Theo Poot (2022, 17 november), geraadpleegd op 8 april 2025, https://www.worldhistory.org/trans/nl/1-105/het-spijkerschrift/
Artikelinformatie
NB:
Dit artikel is in een andere vorm onder dezelfde titel
Geschiedenis van het spijkerschrift
eerder gepubliceerd op de website InfoNu. Dit is een geheel herziene versie van dat artikel.
Auteur
Varenna informatieve artikelen
Publicatiedatum
10 april 2025
Categorieën
Hoofdrubriek
Tijdsperiode